Авторизация
Сброс пароля
Сквозная маркетинговая аналитика в режиме self-service для YouTravel
Заказчик: YouTravel

Мы создали систему сквозной аналитики, которая превращает разрозненные данные из рекламных кабинетов и Google Analytics в четкие инсайты по продажам туров.
1. Вводная задача от заказчика, проблематика, цели
YouTravel – это маркетплейс авторских туров от тревел-экспертов и частных независимых гидов.
Наша задача – построить сквозной отчёт от клика пользователя по рекламному объявлению до покупки, чтобы оценить эффективность маркетинговых кампаний.
Для этого нужно объединить данные из разных источников и правильно сопоставить их между собой: рекламные расходы, поведение пользователя и факт покупки. И здесь всё усложняется.
Рекламные расходы распределены по нескольким источникам: Facebook, Яндекс.Директ, Google Ads и ВКонтакте. Кроме того, часть маркетинговых затрат ведётся вручную вне рекламных кабинетов, в отдельном справочнике.
Пользователи, привлечённые через рекламные каналы, совершают покупки на сайте. Для отслеживания используется Google Analytics, который фиксирует ID пользователей, UTM-метки и факты покупок.
Задача кажется типовой, но в этом клиентском проекте есть важные особенности, из-за которых стандартные инструменты не подошли:
- Необходима кастомная логика атрибуции, связанная со спецификой маркетинговой стратегии.
- Есть дополнительные условия бизнес-логики, которые нужно учитывать при сопоставлении каналов и покупок: например, язык интерфейса пользователя.
2. Описание реализации кейса и творческого пути по поиску оптимального решения
Скачивание "сырых" данных
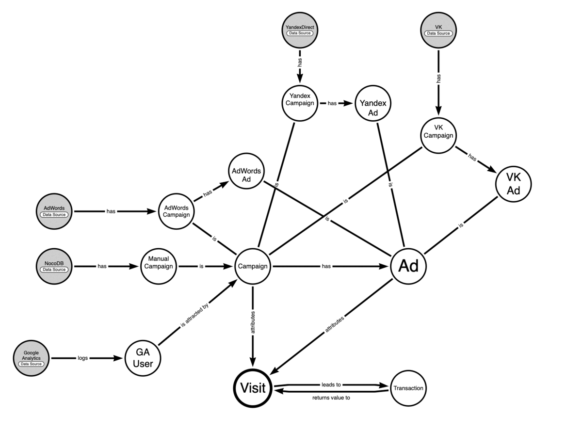
В качестве хранилища данных используется BigQuery. Всего у нас девять источников данных.
Для загрузки мы применяем open-source стек Singer и Meltano, а для преобразования – DBT.
В ходе анализа мы выделяем в данных три типа сущностей:
- анкеры — ключевые объекты предметной области (например, Пользователь, Визит, Рекламная кампания);
- атрибуты — характеристики анкеров (например, Имя пользователя, Дата визита, Название кампании);
- линки — связи между анкерами (например, «Пользователь сделал Заказ»).
Все найденные анкеры, атрибуты и линковки мы сразу документируем в Excel-файле, то есть описание финальной структуры данных появляется ещё до её реализации.
Моделирование данных
Для проектирования модели предметной области мы применяем минимальное моделирование. Этот подход позволяет одновременно изучать структуру данных и документировать её в процессе.
Сбор витрины для Self-Service аналитики
Для построения отчётности мы используем Metabase — бесплатный инструмент с открытым исходным кодом.
В модели данных Metabase можно заранее задать словарь метрик, который становится доступен бизнес-пользователям при создании отчётов.
Новые метрики можно добавлять без программирования прямо в интерфейсе, без участия разработчиков.
Финальный отчёт
Когда все данные собраны, а метрики определены, мы переходим к сборке финального отчёта.
Мы делаем это без написания SQL, просто выбирая данные в Metabase.
Документация по проекту
На финальном этапе мы приводим в порядок документацию. Это просто: описания всех сущностей были подготовлены ещё на этапе моделирования данных. Мы проверяем материал на ошибки и устраняем возможные расхождения, появившиеся в ходе реализации.
Дополнительно всю документацию мы перенесли в Notion для удобства, навигации и эстетики.



3. Результаты сотрудничества
В рамках проекта мы реализовали для заказчика отчётность по сквозной маркетинговой аналитике. Данные стали доступны бизнес-пользователям в формате self-service без необходимости обращаться к аналитикам или разработчикам.
Благодаря применению концепции минимального моделирования, мы получили ряд важных преимуществ:
- Вся структура данных задокументирована и автоматически поддерживается в актуальном состоянии по мере развития модели. Для бизнес-пользователей данные доступны в режиме self-service аналитики.
- Новые атрибуты можно добавлять независимо – это упрощает расширение отчётов. Например, для реализации альтернативной модели атрибуции достаточно добавить один новый атрибут.
- Аналитики, подключающиеся в будущем, смогут быстро разобраться в логике трансформаций и внести необходимые изменения.

Финальный отчет
4. Заключение
Для YouTravel мы создали не просто систему аналитики, а инструмент принятия решений. Теперь маркетологи могут проследить весь путь путешественника - от первого интереса к туру до финального бронирования, учитывая языковые предпочтения и особенности принятия решений в этой сфере. Система превращает разрозненные данные в четкие инсайты, позволяя оптимизировать рекламные кампании под конкретные направления и сезоны. А главное, вся аналитика доступна бизнесу в один клик без запросов в IT.



